BuySellBA
Administrator
Value of m2 in CABA - Reporte Inmobiliario

Source:

Valor del m2 en CABA , noticias sobre RESIDENCIAL en Reporte Inmobiliario
En la comparación interanual los valores ya no acusan bajas significativas. Valores por barrio para departamentos de 1 a 4 ambientes en abril 2024

May 3, 2024
Value of m2 in CABA

In the year-on-year comparison, the values no longer show significant declines. Values by neighborhood for apartments from 1 to 4 rooms in April 2024
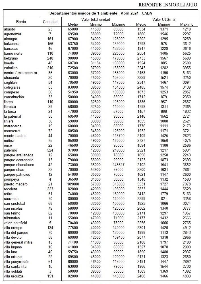
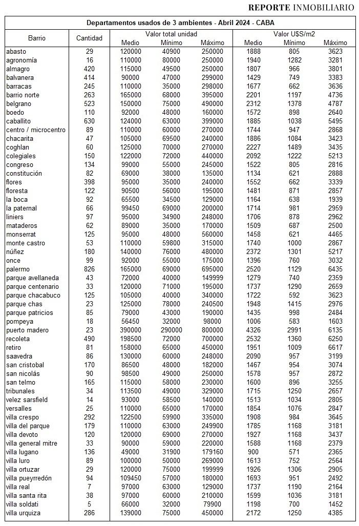
Last April Real Estate Report integrated into its database the information of a total of 22,692 reliable data on used apartments offered for sale in the city of Buenos Aires with between one and four rooms.
The monthly evolution showed increases in the average price of one, two and three-room units and only a slight reduction in the value per m2 of four-room units.
In relation to April 2023, the average value per m2 of the fourth month of the current year was higher in the one-room units, remaining practically stable in the two- and three-room units since they only showed reductions of 0.33% and 0.12% respectively. Only the largest units showed a greater drop, which, however, is not significant either since it stood at -1.6% year-on-year.
In April 2024, the smallest units are those with the highest value per unit of measurement (U$S/m2), this price being reduced as the number of rooms grows. Thus, the m2 of a studio apartment was located at U$$/m2 2,106 while the units with one, two and three bedrooms respectively quoted an average of U$S 1,835, U$S 1,719 and U$S 1,628 per m2.
In the city of Buenos Aires, the average offer value of a used studio apartment was US$69,000 last April. At the upper end, in terms of housing prices and comforts, a four-room apartment cost an average of US$ 139,900; while US$77,700 and US$109,725 were the average prices for one- and two-bedroom apartments.
The average, minimum and maximum value, both of a unit and of the m2, can be seen in the tables below along with the number of cases recorded as reliable, in terms of the consistency of their information, for statistical purposes.







www.buysellba.com